Command Reference
:
Function Reference
:
Function Reference: D
@dbinom
Element Functions
Binomial distribution probability.
Syntax:
@dbinom
(
x, n, p)
x
: number
n
: integer,
p:
number,
Return: number
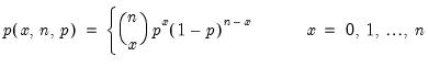
Evaluates the probability function,
and 0 elsewhere.
Examples
= @dbinom(2, 5, 0.5)
returns 0.3125.
Cross-references
See also
@cbinom
,
@qbinom
, and
@rbinom
.