Command Reference
:
Function Reference
:
Function Reference: C
@cgamma
Element Functions
Gamma cumulative distribution.
Syntax:
@cgamma
(
x, b, r[, u])
x
: number
b
: number,
r
: number,
u
: (optional) number
Return: number
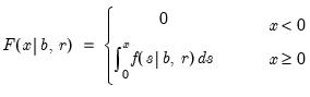
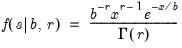
Computes the cumulative distribution function
where
for
and 0 elsewhere.
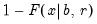
If the optional argument
u
is non-zero, return the upper-tail value:
Examples
= @cgamma(2.7725, 4, 1)
returns 0.49998....
Cross-references
See also
@dgamma
,
@qgamma
, and
@rgamma
.