Command Reference
:
Function Reference
:
Function Reference: Q
@qgamma
Element Functions
Gamma distribution quantile.
Syntax:
@qgamma
(
p, b, r)
p
: number,
b
: number,
r
: number,
Return: number
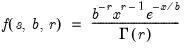
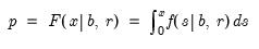
Return the
satisfying
where
for
and 0 elsewhere.
Examples
= @qgamma(0.5, 4, 1)
returns 2.77258....
Cross-references
See also
@cgamma
,
@dgamma
, and
@rgamma
.