Command Reference
:
Function Reference
:
Function Reference: D
@dgamma
Element Functions
Gamma probability density.
Syntax:
@dgamma
(
x, b, r)
x
: number
b
: number,
r
: number,
Return: number
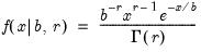
Evaluates the probability density function,
for
and 0 elsewhere.
Examples
= @dgamma(2, 4, 1)
returns 0.15163....
Cross-references
See also
@cgamma
,
@qgamma
, and
@rgamma
.