Command Reference
:
Function Reference
:
Function Reference: C
@claplace
Element Functions
Laplace cumulative distribution.
Syntax:
@claplace
(
x[, u])
x
: number
u
: (optional) number
Return: number
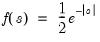
Computes the cumulative distribution integral
where
If the optional argument
u
is non-zero, return the upper-tail value:
.
Examples
= @claplace(@log(2))
returns 0.75.
Cross-references
See also
@dlaplace
,
@qlaplace
, and
@rlaplace
.