Command Reference
:
Function Reference
:
Function Reference: Q
@qlaplace
Element Functions
Laplace distribution quantile.
Syntax:
@qlaplace
(
p)
p
: number
Return: number
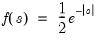
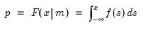
Return the
satisfying
where
Examples
= @qlaplace(0.25)
returns -0.69314....
Cross-references
See also
@claplace
,
@dlaplace
, and
@rlaplace
.