Command Reference
:
Function Reference
:
Function Reference: R
@rlaplace
Element Functions
|
String Functions
Laplace distribution random draw.
Syntax:
@rlaplace
Return: number
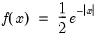
Draw a random value from the Laplace distribution with probability density function,
Examples
= @rlaplace
returns a random draw from the Laplace distribution.
Cross-references
See also
@claplace
,
@dlaplace
, and
@qlaplace
.