Command Reference
:
Function Reference
:
Function Reference: C
@clognorm
Element Functions
Log normal cumulative distribution.
Syntax:
@clognorm
(
x, m, s[, u])
x
: number
m:
number,
s
: number,
u
: (optional) number
Return: number
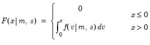
Computes the cumulative distribution function
where
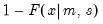
If the optional argument
u
is non-zero, return the upper-tail value:
.
Examples
= @clognorm(1, 0, 2)
returns 0.5.
Cross-references
See also
@dlognorm
,
@qlognorm
, and
@rlognorm
.