Command Reference
:
Function Reference
:
Function Reference: Q
@qlognorm
Element Functions
Log normal distribution quantile.
Syntax:
@qchisq
(
p, m, s)
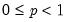
p
: number,
m:
number,
s
: number,
Return: number
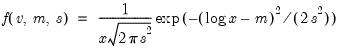
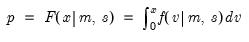
Find the
x
satisfying
where
Examples
= @qlognorm(0.5, 0, 2)
returns 1.
Cross-references
See also
@clognorm
,
@dlognorm
, and
@rlognorm
.