Command Reference
:
Function Reference
:
Function Reference: D
@dlognorm
Element Functions
Log normal probability density.
Syntax:
@dged
(
x, m, s)
x
: number
m:
number,
s
: number,
Return: number
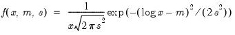
Evaluates the probability density function,
for
and 0 otherwise.
Examples
= @dlognorm(1, 0, 2)
returns 0.19947....
Cross-references
See also
@clognorm
,
@qlognorm
, and
@rlognorm
.