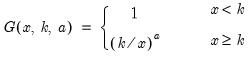
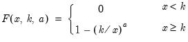
Pareto cumulative distribution.
Syntax: @cpareto(x, k, a[, u])
x: number
k: number,

a: number,

u: (optional) number
Return: number
Computes the cumulative distribution function
If the optional argument u is non-zero, return the upper-tail value:
Examples
= @cpareto(2, 1, 2)
returns 0.75.
Cross-references