Command Reference
:
Function Reference
:
Function Reference: D
@dpareto
Element Functions
Pareto
probability density.
Syntax:
@dpareto
(
x, k, a)
x
: number
k
: number,
a
: number,
Return: number
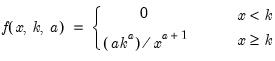
Evaluates the probability density function,
Examples
= @dpareto(2, 1, 2)
returns 0.25.
Cross-references
See also
@cpareto
,
@qpareto
, and
@rpareto
.