Pareto distribution random draw.
Syntax: @rpareto(k, a)
k: number,

a: number,

Return: number
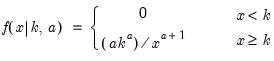
Draw a random value from the Pareto distribution with probability density function,
Example
= @rpareto(1, 2)
returns a random draw from the Pareto(1, 2) distribution.
Cross-references