@diwish |



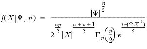
density function for sym values of X, and
.
and
are symmetric
matrices, and
.
. The forms are distinguished by different suffixes that are applied to the base “@dwish” command and how they change the interpretation of the S matrix argument:@diwish | “” | Supply . |
@diwishc | “c” | Supply the Cholesky decomposition of . This form is more efficient when performing multiple draws from the same distribution (compute the Cholesky once, but sample many times). |
@diwishi | “i” | Supply . This form is more efficient than explicitly inverting to supply . |
@diwishic | “ic” | Supply the Cholesky decomposition of . This form combines the efficiencies of the Cholesky and inverse forms. |
is an inverse Wishart random variable, then
follows a Wishart distribution: