@dwish |



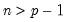
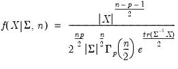
density function for sym values of X, and
.
and
are symmetric
matrices, and
.
. The forms are distinguished by different suffixes that are applied to the base “@dwish” command and how they change the interpretation of the S matrix argument:@dwish | “” | Supply . |
@dwishc | “c” | Supply the Cholesky decomposition of . This form is more efficient when performing multiple draws from the same distribution (compute the Cholesky once, but sample many times). |
@dwishi | “i” | Supply . This form is more efficient than explicitly inverting to supply . |
@dwishic | “ic” | Supply the Cholesky decomposition of . This form combines the efficiencies of the Cholesky and inverse forms. |
is generally thought of as the accumulated scatter matrix of n random draws from
, i.e.,
,
,
is a Wishart random variable, then
follows an inverse Wishart distribution: