@rwish |



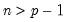
density function.
and
are symmetric
matrices, and
.
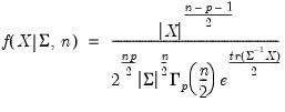
. The forms are distinguished by different suffixes that are applied to the base “@rwish” command and how they change the interpretation of the S matrix argument:@rwish | “” | Supply . |
@rwishc | “c” | Supply the Cholesky decomposition of . This form is more efficient when performing multiple draws from the same distribution (compute the Cholesky once, but sample many times). |
@rwishi | “i” | Supply . This form is more efficient than explicitly inverting to supply . |
@rwishic | “ic” | Supply the Cholesky decomposition of . This form combines the efficiencies of the Cholesky and inverse forms. |
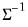
is generally thought of as the accumulated scatter matrix of n random draws from
, i.e.,
,
,
is a Wishart random variable, then
follows an inverse Wishart distribution:
distribution.