Command Reference
:
Function Reference
:
Function Reference: D
@dnegbin
Element Functions
Negative binomial distribution probability.
Syntax:
@dnegbin
(
x, n, p)
x
: number
n
: number,
p
: number,
Return: number
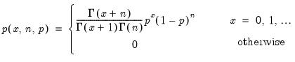
Evaluates the probability function,
Examples
= @dnegbin(9, 10, 0.5)
returns 0.09273....
Cross-references
See also
@cnegbin
,
@qnegbin
, and
@rnegbin
.