Negative binomial distribution random draw.
Syntax: @rnegbin(n, p)
n: number,

p: number,

Return: integer
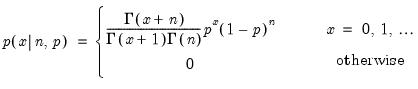
Draw a random integer value from the negative binomial distribution with probability function,
Examples
= @rnegbin(10, 0.5)
returns a random draw from the negative binomial(10, 0.5) distribution.
Cross-references