Command Reference
:
Function Reference
:
Function Reference: Q
@qnegbin
Element Functions
Negative binomial distribution quantile.
Syntax:
@qnegbin
(
v, n, p)
v
: number,
n
: number,
p
: number,
Return: integer
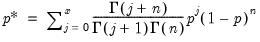
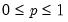
Find value with cumulative probability exceeding
.
Returns smallest integer
satisfying
where
is the cumulative probability function evaluated at
,
Examples
= @qnegbin(0.5, 10, 0.5)
returns 9.
Cross-references
See also
@cnegbin
,
@dnegbin
, and
@rnegbin
.