Command Reference
:
Function Reference
:
Function Reference: G
@gammainc
Element Functions
Incomplete gamma function.
Syntax:
@gammainc
(
x, a[, u])
x:
number
a
: number
u
: (optional) number
Return: number
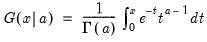
for
and
.
If the optional argument
u
is non-zero, return the upper-tail value:
(18.7)
Examples
= @gammainc(1,1)
returns 0.63212... (equivalent to
).
Cross-references
See also
@gamma
,
@gammaincder
, and
@gammaincinv
.