Command Reference
:
Function Reference
:
Function Reference: G
@gammaincinv
Element Functions
Inverse of the incomplete gamma function.
Syntax:
@gammainciv
(
p, a)
x:
number
p
: number
a
: number
Return: number
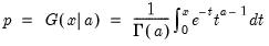
Find the value of
satisfying:
for
and
.
Examples
= @gammaincinv(0,2)
returns 0.
Cross-references
See also
@gammainc
and
@gammaincder
.