Command Reference
:
Function Reference
:
Function Reference: G
@gammaincder
Element Functions
Derivative of the incomplete gamma integral
.
Syntax:
@gammaincder
(
x
,
a, c)
x
: number
a
: number
c
integer
Return: number
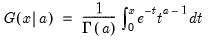
Given the incomplete gamma integral for elements of
x
and
a
:
for
and
, compute the derivative given by
c
where
c
is an integer from 1 to 5 indicating the desired derivative,
If
c
is not an integer, the integer floor
will be used.
Examples
= @gammaincder(1,3,1)
returns 0.18393....
Cross-references
See also
@gammainc
and
@gammaincinv
.