Command Reference : Function Reference : Function Reference: P
  
 
@pc
One-period percentage change (in percent).
Syntax: @pc(x)
x: series
n: integer, series
Return: series
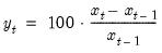
Returns one-period percentage change (in percent) in the series x:
This function is panel aware.
Examples
If x is a series of monthly profits, then
show @pc(x)
produces a linked series of monthly profit growth in percent.
Cross-references
See also @pca, @pch, @pcha, @pchy, and @pcy.