Command Reference : Function Reference : Function Reference: P
  
 
@pchy
One-year percentage change (in decimal fraction).
Syntax: @pchy(x)
x: series
n: integer, series
Return: series
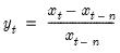
Returns one-year percentage change (in decimal fraction) in the series x:
where is the lag associated with the yearly frequency (e.g., for quarterly data, for monthly data).
This function is panel aware.
Examples
If x is a series of monthly profits, then
show @pchy(x)
produces a linked series of one-year profit growth in decimal fraction.
Cross-references
See also @pc, @pca, @pch, @pcha, and @pcy.