Command Reference : Function Reference : Function Reference: P
  
 
@pca
One-period percentage change, annualized (in percent).
Syntax: @pca(x)
x: series
n: integer, series
Return: series
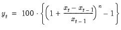
Returns the n-th root of the total return of x over n periods, minus 1:
where is the lag associated with the yearly frequency (e.g., for quarterly data, for monthly data).
This function is panel aware.
Examples
If x is a series of monthly profits, then
show @pca(x)
produces a linked series of annualized profit growth in percent.
Cross-references
See also @pc, @pch, @pcha, @pchy, and @pcy.