Command Reference
:
Matrix Language Reference
@covp
Matrix Statistics Functions
Pearson (population) product moment covariance (population – no d.f. adjustment).
(Same as
@cov
.)
Syntax:
@covp
(
x)
x
: matrix
Return: sym
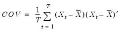
Compute the covariance between columns of a matrix, with no d.f. correction.
where
is the column vector corresponding to the
i
-th row of the matrix,
are the corresponding means, and
is the number of rows of the matrix.
Examples
matrix x = @mnrnd(300, 5)
sym cov = @covp(@inner(x))
computes the
non d.f. corrected covariance matrix of the randomly generated X.
Cross-references
See also
@covs
and
@cor
.