Command Reference
:
Function Reference
:
Function Reference: C
@cbeta
Element Functions
Beta distribution cumulative distribution.
Syntax:
@cbeta
(
x, a, b[, u])
x
: number
a
: number,
b:
number,
u
: (optional) number
Return: number
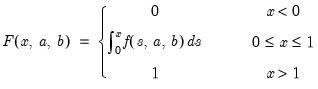
Computes the cumulative distribution function
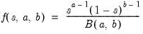
where
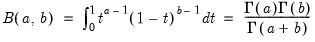
and
is the beta function
If the optional argument
u
is non-zero, return the upper-tail value:
.
Examples
= @cbeta(0.5, 1, 2)
returns 0.75.
Cross-references
See also
@dbeta
,
@qbeta
, and
@rbeta
.