Beta distribution random draw.
Syntax: @rbeta(x, a, b)
x: number
a: number,

b: number,

Return: number
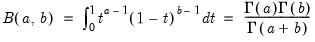
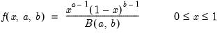
Draw a random value from the beta distribution with density function,
and 0 elsewhere, where

is the beta function
Examples
= @rbeta(1, 2)
returns a random draw from the Beta(1, 2) distribution.
Cross-references
See also
@cbeta,
@dbeta, and
@qbeta.