Beta distribution probability density.
Syntax: @dbeta(x, a, b)
x: number
a: number,

b: number,

Return: number
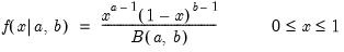
Evaluates the probability density function,
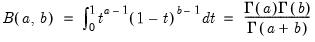
and 0 elsewhere, where

is the beta function
Examples
= @dbeta(0.5, 1, 2)
returns 1.
Cross-references
See also
@cbeta,
@qbeta, and
@rbeta.