Beta distribution quantile.
Syntax: @qbeta(p, a, b)
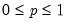
p: number,

a: number,

b: number,

Return: number
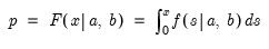
Find the x satisfying
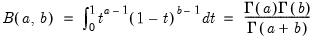
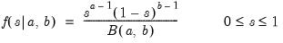
where
and 0 elsewhere, and

is the beta function
Examples
= @qbeta(0.75, 1, 2)
returns 0.5.
Cross-references
See also
@cbeta,
@dbeta, and
@rbeta.