Command Reference
:
Function Reference
:
Function Reference: C
@cged
Element Functions
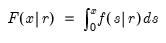
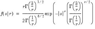
Generalized error cumulative distribution.
Syntax:
@cged
(
x, r[, u])
x
: number
r
: number,
u
: (optional) number
Return: number
Computes the cumulative distribution function
where
If the optional argument
u
is non-zero, return the upper-tail value:
.
Examples
Cross-references
= @cged(0.675, 2)
returns 0.75016.
See also
@dged
,
@qged
, and
@rged
.