Generalized error distribution random draw.
Syntax: @rged(r)
r: number,

Return: number
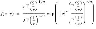
Draw a random value from the generalized error distribution with density function,
Examples
= @rged(2)
returns a random draw from the Generalized error distribution.
Cross-references
See also
@cged,
@dged, and
@qged.