Command Reference
:
Function Reference
:
Function Reference: D
@dged
Element Functions
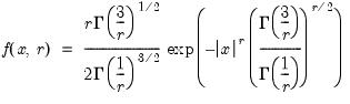
Generalized error probability density.
Syntax:
@dged
(
x, v)
x
: number
r
: number,
Return: number
Evaluates the probability density function,
Examples
= @dged(0, 2)
returns 0.39894....
Cross-references
See also
@cged
,
@qged
, and
@rged
.