Command Reference
:
Function Reference
:
Function Reference: Q
@qged
Element Functions
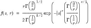
Generalized error distribution quantile.
Syntax:
@qchisq
(
p, r)
p
: number,
r
: number,
Return: number
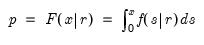
Find the
x
satisfying
where
Examples
= @qged(0.75, 2)
returns 0.67448....
Cross-references
See also
@cged
,
@dged
, and
@rged
.