Command Reference : Function Reference : Function Reference: C
  
 
@clogistic
Logistic cumulative distribution.
Syntax: @clogistic(x[, u])
x: number
u: (optional) number
Return: number
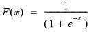
Computes the cumulative distribution function
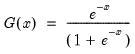
If the optional argument u is non-zero, return the upper-tail value:
Examples
= @clogistic(0)
returns 0.5.
Cross-references
See also @dlogistic, @qlogistic, and @rlogistic.