Command Reference
:
Function Reference
:
Function Reference: R
@rlogistic
Element Functions
|
String Functions
Logistic distribution random draw.
Syntax:
@rlogistic
Return: number
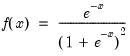
Draw a random value from the logistic distribution with probability density function,
Examples
= @rlogistic
returns a random draw from the logistic distribution.
Cross-references
See also
@clogistic
,
@dlogistic
, and
@qlogistic
.