Command Reference
:
Function Reference
:
Function Reference: D
@dlogistic
Element Functions
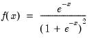
Logistic probability density.
Syntax:
@dlogistic
(
x)
x
: number
Return: number
Evaluates the probability density function,
Examples
= @dlogistic(0)
returns 0.25.
Cross-references
See also
@clogistic
,
@qlogistic
, and
@rlogistic
.