Command Reference
:
Function Reference
:
Function Reference: Q
@qlogistic
Element Functions
Logistic distribution quantile.
Syntax:
@qlogistic
(
p)
p
: number,
Return: number
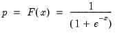
Return the
satisfying
so that
Examples
= @qlogistic(0.5)
returns 0.
Cross-references
See also
@clogistic
,
@dlogistic
, and
@rlogistic
.