Command Reference
:
Function Reference
:
Function Reference: C
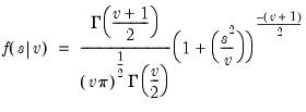
@ctdist
Element Functions
Student’s
cumulative distribution.
Syntax:
@ctdist
(
x, v[, u])
x
: number
v: number,
u
: (optional) number
Return: number
where
If the optional argument
u
is non-zero, return the upper-tail value:
.
Note that
, yields the Cauchy distribution.
Examples
= @ctdist(-12.71, 1)
returns 0.02499....
Cross-references
See also
@tdist
,
@dtdist
,
@qtdist
, and
@rtdist
.