Command Reference
:
Function Reference
:
Function Reference: Q
@qtdist
Element Functions
Student’s
distribution quantile.
Syntax:
@qtdist
(
p, v)
p
: number,
v: number,
Return: number
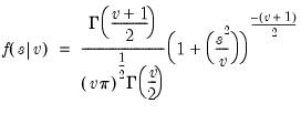
Return the
satisfying
where
Examples
= @qtdist(0.025, 1)
returns -12.70620....
Cross-references
See also
@ctdist
,
@tdist
,
@dtdist
, and
@rtdist
.