Command Reference
:
Function Reference
:
Function Reference: T
@tdist
Element Functions
Tail probabilities of the Student’s
distribution.
Syntax:
@tdist
(
x, v)
x
: number
v: number,
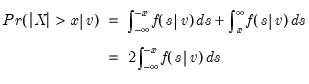
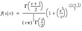
Return: number
Probability that a
t
-statistic
with
degrees of freedom exceeds
in absolute value (two-sided
p
-value
).
due to symmetry, where
Examples
= @tdist(-12.71, 1)
returns 0.04998....
Cross-references
See also
@ctdist
,
@dtdist
,
@qtdist
, and
@rtdist
.