Command Reference
:
Function Reference
:
Function Reference: D
@dtdist
Element Functions
Student’s
probability density.
Syntax:
@dtdist
(
x, v)
x
: number
v: number
Return: number
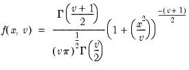
Evaluates the probability density function,
for
, and
Examples
= @dtdist(0, 1)
returns 0.31830....
Cross-references
See also
@ctdist
,
@tdist
,
@qtdist
, and
@rtdist
.