Backward cumulative standard deviations (d.f. adjusted) of a series.
Equivalent to @cumbstdevs.
Decreasing sample calculation of the square root of the sample (d.f. adjusted) Pearson product moment variance.
Syntax: @cumbstdev(x, [s])
x: series
s: (optional) sample string or object
Return: series
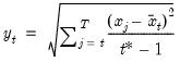
The sample standard deviation is calculated for each observation

as:
where

is the last period of the cumulative process,

, and

is the mean of

over the last

observations.
Examples
show @cumbstdev(x)
generates a linked series of the backward cumulative sample standard deviations of the series x.
Cross-references
For the forward variant of this function, see
@cumstdev.