Backward cumulative variances (non-d.f. corrected) of a series.
Equivalent to @cumbvarp.
Decreasing samples calculation of the population (non-d.f. corrected) Pearson product moment variance.
Syntax: @cumbvar(x, [s])
x: series
s: (optional) sample string
Return: series
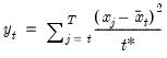
The population variance for each observation

is calculated as:
where

is the last period of the cumulative process,

, and

is the mean of

over the last

observations.
This function is panel aware.
Examples
show @cumbvar(x)
generates a linked series of the backward cumulative population variance of the series x.
Cross-references
For the forward variant of this function, see
@cumvar.