Backward cumulative standard deviations (population, non-d.f. corrected).
Decreasing samples calculation of the square root of the population (non-d.f. adjusted) Pearson product moment variance.
Syntax: @cumbstdevp(x, [s])
x: series
s: (optional) sample string or object
Return: series
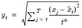
The population standard deviation is calculated for each observation

as:
where

is the last period of the cumulative process,

, and

is the mean of

over the last

observations.
This function is panel aware.
Examples
show @cumbstdevp(x)
generates a linked series of the backward cumulative population standard deviations of the series x.
Cross-references
For the forward variant of this function, see
@cumstdevp.