Backward cumulative sample standard deviations (sample, d.f. corrected) of a series.
Decreasing sample calculation of the square root of the sample (d.f. corrected) Pearson product moment variance.
Syntax: @cumbstdevs(x, [s])
x: series
s: (optional) sample string or object
Return: series
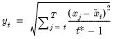
The sample standard deviation is calculated for each observation

as:
where

is the last period of the cumulative process,

, and

is the mean of

over the last

observations.
This function is panel aware.
Examples
show @cumbstdevs(x)
generates a linked series of the backward cumulative sample standard deviations of the series x.
Cross-references
For the forward variant of this function, see
@cumstdevs.