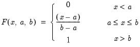
Uniform cumulative distribution.
Syntax: @cunif(x, a, b[, u])
x: number
a: number
b: number,

u: (optional) number
Return: number
Computes the cumulative distribution function
If the optional argument u is non-zero, return the upper-tail value:
Examples
= @cunif(4, 1, 6)
returns 0.6.
Cross-references
See also
@dunif,
@qunif, and
@runif.