Uniform probability density.
Syntax: @dunif(x, a, b)
x: number
a: number
b: number,

Return: number
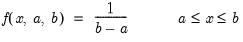
Evaluates the probability density function,
and 0 otherwise.
Examples
= @dunif(4, 1, 6)
returns 0.2.
Cross-references
See also
@cunif,
@qunif, and
@runif.