Uniform distribution random draw.
Syntax: @runif(a, b)
a: number
b: number,

Return: number
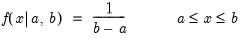
Draw a random value from the uniform distribution with probability density function,
and 0 otherwise.
Examples
= @runif(1, 6)
returns a random draw from the continuous uniform(1, 6) distribution.
Cross-references
See also
@cunif,
@dunif, and
@qunif.