Command Reference
:
Function Reference
:
Function Reference: Q
@qunif
Element Functions
Uniform distribution quantile.
Syntax:
@qunif
(
p, a, b)
p
: number,
a
: number
b
: number,
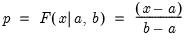
Return: number
Return the
satisfying
so that
Examples
= @qunif(0.4, 1, 6)
returns 3.
Cross-references
See also
@cunif
,
@dunif
, and
@runif
.